Новое поступление
Магазина Shengyuan Equipment Store работает с 28.11.2013. его рейтинг составлет 0 баллов из 100. В избранное добавили 2164 покупателя. Средний рейтинг торваров продавца 0 в продаже представленно 596 наименований товаров, успешно доставлено 30 заказов. 0 покупателей оставили отзывы о продавце.
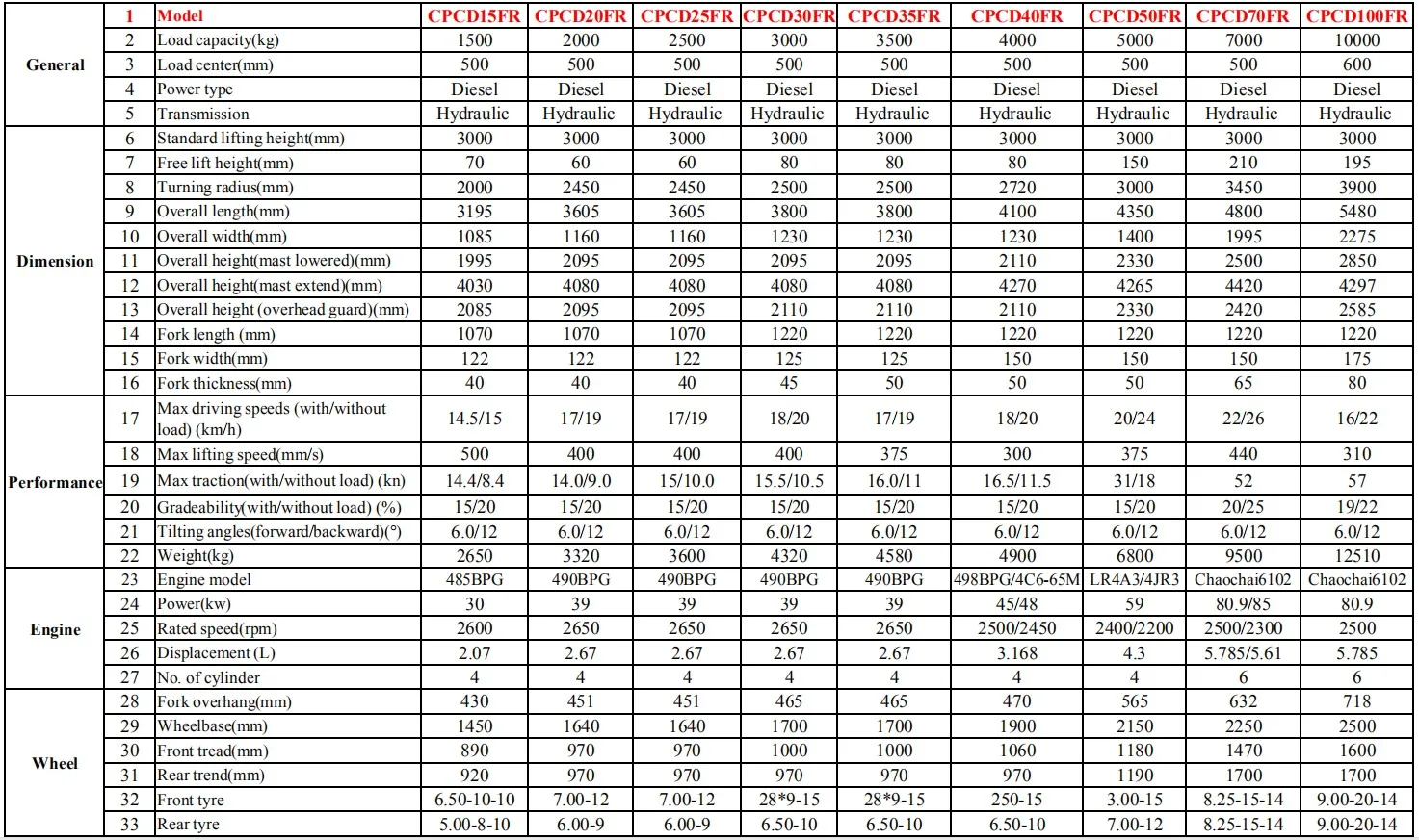
Характеристики
*Текущая стоимость US $8,500.00 уже могла изменится. Что бы узнать актуальную цену и проверить наличие товара, нажмите "Добавить в корзину"
| Месяц | Минимальная цена | Макс. стоимость | Цена |
|---|---|---|---|
| Mar-18-2026 | 10.78 руб. | 11.68 руб. | 10.5 руб. |
| Feb-18-2026 | 9.92 руб. | 9.94 руб. | 9 руб. |
| Jan-18-2026 | 8.26 руб. | 8.41 руб. | 8 руб. |
| Dec-18-2025 | 9.4 руб. | 9.29 руб. | 9 руб. |
| Nov-18-2025 | 8.53 руб. | 8.91 руб. | 8 руб. |
| Oct-18-2025 | 9.5 руб. | 9.29 руб. | 9 руб. |
| Sep-18-2025 | 9.59 руб. | 9.1 руб. | 9 руб. |
| Aug-18-2025 | 9.25 руб. | 9.4 руб. | 9 руб. |
| Jul-18-2025 | 9.47 руб. | 9.28 руб. | 9 руб. |
Описание товара






Attention:all the prices of products displayed on aliexpress are just for reference, not including the shipping cost, the shipment and delivery by sea or truck if make deal, and the payment term is by T/T or western union, not accepting to pay on aliexpress. Please contact us to get the final offer.
----
Diesel Forklift
We can supply the diesel forklifts from 1.5tons to 10tons, and different models with different options, please contact to get your quotation.

----------
Following are the specifications of 1.5T diesel powered forklfit truck:
Model:CPCD15FR;
Load capacity:1500KG;
Load center:500mm;
Fuel: diesel;
Transmission: hydraulic;
Standard lift height:3000mm;
Free lift height:70mm;
Min turning radius:2000mm;
Min square angle aisle width:1770mm;
Min under-clearance:110mm;
Overall length(include fork):3195mm;
Overall width:1085mm;
Overall height:2085mm;
Weight:2650kg;
Fork length:1070mm;
Fork width:122mm;
Fork thickness:40mm;
Max driving speeds (with/without load): 14.5/15km/h;
Max lifting speed:500mm/s;
Max traction(with/without load):14.4/8.4kn;
Gradeability(with/without load):15/20%;
Tilting angles(forward/backward):6/12°;
Engine:China 485BPG;
Power:30KW;
Rated speed:2600rpm;
Displacement:2.07L;
Cylinder number:4 pcs;
Fork overhang:430mm;
Wheel base:1450mm;
Front tread:890mm;
Rear tread:920mm;
Front tyre:6.50-10-10;
Rear tyre:5.00-8-10;
-----
There are also many options for choice:
A):Optional Configurations:
1,Cab with fan/heater;
2,Dual front wheel;
3,High-grade seat;
4,High/Median exhaust;
5,Tilting&lifting cylinder sleeve;
6,Dual-air filter/ Oil type air filter;
7,Fire extingguisher/Fire cover;
8,Lengthened and widened fork;
9,Engines:
A490BPG/C490BPG/495BPG/498BPG diesel engines;
Japan ISUZU 4JG2PE-01,Mitsubishi 4G64 engines;etc.
10,MAST OPTIONS:
2-STAGE MAST 3.3M;
2-STAGE MAST 3.5M;
2-STAGE MAST 4M;
2-STAGE MAST 5M;
3-STAGE MAST 8.0M;
3-STAGE MAST 7.5M;
3-STAGE MAST 7.3M;
3-STAGE MAST 6M;
3-STAGE MAST 5.5M;
3-STAGE MAST 5.0M;
3-STAGE MAST 4.8M;
3-STAGE MAST 4.5M;
B)Optional Attachments:
1,Side shifter and fork positioner;
2,Bale clamps;
3,Paper roll clamps;
4,Flat bag clamps;
5,Carton clamps;
6,Block clamps;
7,Rotator/Rotating clamps;
8,Hinged fork;
9,Sanitation fork;
10,Bucket;
11,Load stabilizers;
12,Single/double- pallets handles;
13.Log holder;
14,Tyre clamps;
15,Push/pull device;
16,Fertilizer throw-out;
17,Drum clamps;
18,Carpet/cargo beam;
------------
Images of the forklifts:





-------------
Worshop photos:






Смотрите так же другие товары: