Новое поступление
Магазина German Series Car Parts Store Store работает с 29.06.2015. его рейтинг составлет 91.23 баллов из 100. В избранное добавили 1718 покупателя. Средний рейтинг торваров продавца 4.6 в продаже представленно 2576 наименований товаров, успешно доставлено 1409 заказов. 342 покупателей оставили отзывы о продавце.
Характеристики
*Текущая стоимость 3372.45 уже могла изменится. Что бы узнать актуальную цену и проверить наличие товара, нажмите "Добавить в корзину"
| Месяц | Минимальная цена | Макс. стоимость | Цена |
|---|---|---|---|
| Mar-18-2026 | 4013.53 руб. | 4214.78 руб. | 4113.5 руб. |
| Feb-18-2026 | 3979.92 руб. | 4178.79 руб. | 4078.5 руб. |
| Jan-18-2026 | 3338.89 руб. | 3505.5 руб. | 3421.5 руб. |
| Dec-18-2025 | 3912.94 руб. | 4108.87 руб. | 4010 руб. |
| Nov-18-2025 | 3406.77 руб. | 3576.46 руб. | 3491 руб. |
| Oct-18-2025 | 3844.41 руб. | 4036.40 руб. | 3940 руб. |
| Sep-18-2025 | 3810.8 руб. | 4001.87 руб. | 3905.5 руб. |
| Aug-18-2025 | 3777.97 руб. | 3966.92 руб. | 3871.5 руб. |
| Jul-18-2025 | 3743.78 руб. | 3930.55 руб. | 3836.5 руб. |
Описание товара












Welcome to my shop, I will use the sincere service, professional perspective, to provide you with satisfactory service!
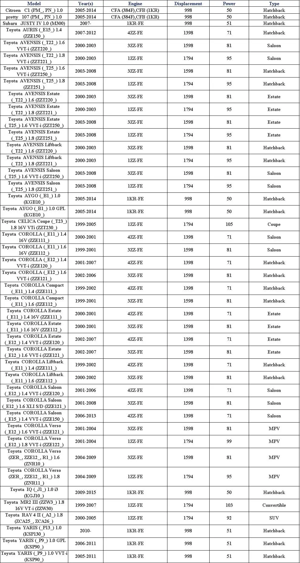
Item Name & Part #NEW 9091902239 Ignition Coil For Toyota AURIS AVENSIS Liftback MR2 III Subaru JUSTY IV 90919T2002 9008019019 9008019015
9091902239 9091902239
9091902262 90919T2002
90919W2001 90919T2006
597088 5970C0 5970C1
4U Autoparts:20937PU
ABAKUS:122-01-009
ACKOJA:A70-70-0001
AP XENERGY:XE-9011B
ASHUKI by Palidium:1608-4102
AUTOTEAM:L530304
BorgWarner (BERU):ZSE164
BOSCH:F 005 X11 783
CASCO:CIC70002AS
DENSO:DIC-0100
DIPASPORT:BBA197DLPN Voltage: 12 VOperating Mode: ElectricNumber of connectors: 4Coil Ignition System: Full Electronic Ignition (FI)Mounting Type: BoltedIgnition Coil: incl. spark plug connectorIgnition Coil: Coupling Type SAEVehicle Equipment: for vehicles without distributor Fit Model
Note:If you are unsure whether it can apply to your car, please contact us first time, we will give you check.Need wholesale price please contact us.Replacement Part NumberN/APackage Includes:Ignition Coils ×1Customs taxes:Our sales price does not include customs taxes and fees. buyer will bear these costs.Each country has different customs tax threshold, so you need know your country's tax policy. 


















Смотрите так же другие товары: